ergo-log.com

Definition: "An ergogenic aid is any substance or phenomenon that enhances performance "

about us

/

contact

/

Ergo-Log

02.02.2018


Overcoming drug addiction? Strength training helps

Drug abusers often do not have much muscles, and have a lifestyle with countless other negative health effects. Drug abusers fall for example more often, and break bones more often. For these reasons, and because strength training also has all kinds of positive mental effects, Norwegian researchers wondered what might happen when drug users, who want to get rid of their addiction, do strength training in addition to their treatment. The results of the Norwegian's study are not disappointing.

Study
The researchers, who were affiliated with the Norwegian University of Science and Technology, experimented with 16 ex-drug abusers who wanted to get rid of their addiction in a clinic for 8 weeks.

The researchers divided the subjects into 2 groups. One group did strength training 3 times a week, the other group did not.

Overcoming drug addiction? Strength training helps
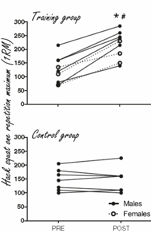
The subjects in the strength training group trained their upper legs on a hack squat machine, and their calves on a calf raise machine. The subjects trained with 85-90 percent of the load with which they could just make 1 rep. With that weight they made 4 sets of 4-5 repetitions per exercise. The subjects rested for 3 minutes between sets.

All subjects also exercised about three hours a week. "The treatment program included: ball games, yoga, stretching, outdoor walking and low resistance strength training (estimated less than 50% or 1RM)", the researchers explained.

Results
Strength training made the subjects stronger.


Overcoming drug addiction? Strength training helps


Overcoming drug addiction? Strength training helps


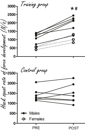
The rate of force development also increased in the strength training group. An increase in rate of force development predicts that the risk of falls decreases because the brain has improved its control over the muscles.


Overcoming drug addiction? Strength training helps


More convincing was the effect of strength training on insomnia, which affected all subjects. Only in the strength training group did the sleep problems decrease significantly. The sleep problems in this group almost completely disappeared.

Conclusion
"This study shows that maximal strength training is a feasible, safe and effective method to improve muscle strength and function during substance use disorder treatments", the Norwegians concluded.

"The improvements in physical health implies that the substance use disorder patients have reduced their risk for traumas, falls and fractures, life style related diseases and all-cause mortality. Recognizing the poor physical condition of substance use disorder patients, effective physical training, targeting muscle strength and aerobic capacity should be implemented in clinical treatment to improve physical and mental health."

Source:
BMC Sports Sci Med Rehabil. 2016 Mar 31;8:7.

More:
Stop worrying, go and start strength training 13.07.2015
Resistance training and cardio training offer protection against burnout 13.06.2015
Sleep better - do strength training 13.12.2016

Archives:
Strength Training
Psychology


Strength training increases success of attempts to quit smoking Strength training gets rid of listlessness Strength training works as medicine for schizophrenia

Strength training increases success of attempts to quit smoking
Researchers at Brown University in the US think that strength training also prevents the increase in body fat that ex-smokers often face.

Strength training gets rid of listlessness
That old excuse "I've no energy left to go training" has been scientifically disproven years ago.

Strength training works as medicine for schizophrenia
If people with schizophrenia do an hour-long workout twice a week in a fitness centre or gym the severity of their symptoms will decrease.