ergo-log.com

Definition: "An ergogenic aid is any substance or phenomenon that enhances performance "

about us

/

contact

/

Ergo-Log

16.02.2010


Low-carb diet gives endurance athletes more stamina

Low-carb diet gives endurance athletes more stamina
Endurance sports gurus are still singing the praises of extremely high carbohydrate eating patterns, but studies suggest that a low-carb diet may also be interesting for endurance athletes. If you put experienced cyclists and triathletes on a fat-rich diet for 6 days, their bodies become more economical with sugars, they burn more fat and their stamina increases slightly, even if they go back to a high-carb menu on the day of a race. Sports scientists at the RMIT University in Australia reported this a decade ago in the Journal of Applied Physiology.

The researchers gave 7 test subjects a standard diet on day 1, consisting of 58 percent carbohydrates, 27 percent fats and 15 percent protein. After that the subjects were put on a low-carb diet, where 69 percent of the energy came from fats, 16 percent from carbohydrates and 15 percent from proteins. On day 9 the subjects were given a high-carb diet, with 70 percent of the energy in the form of carbohydrates, 15 percent from fats and 15 percent from carbohydrates. [FAT-adapt]

On another occasion the test subjects were given a diet with a very high carbohydrate content from day 2. [HCHO]

On days 2, 5 and 8 the researchers got their subjects to cycle for 15 minutes at a reasonable speed – at 65 percent of their VO2max – while determining from which food types the athletes were getting their energy. This was done in the mornings, before the subjects had had breakfast. On day 9 the researchers did the same, but got the subjects to cycle for 4 hours at 65 percent of their VO2max.

When the test subjects had been on a low-carb diet for a week they burned more fats and less carbohydrates, as the figure below shows.


Low-carb diet gives endurance athletes more stamina


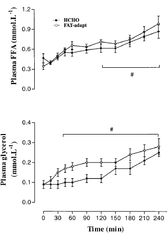
During the 4-hour bike ride, the low-carb diet raised the concentration of fatty acids and glycerol in the blood. This suggests that fat cells release their content more easily in the blood.


Low-carb diet gives endurance athletes more stamina


After the 4-hour bike ride the test subjects did another 1-hour ride. The graph below shows that the low-carb diet helped the subjects to cover a slightly greater distance.


Low-carb diet gives endurance athletes more stamina


However, the effect was not statistically significant. The authors therefore conclude that a low-carb diet is not of interest to endurance athletes. "A high-fat, low-carb diet, followed by 1 day of carb restoration, increased fat oxidation during prolonged exercise, yet, this study failed to detect a statistically significant benefit to performance", they write. We on the other hand, not hindered by a knowledge overload, draw the opposite conclusion.

The study was funded by Nestle, a producer of high-carb sports foods for endurance athletes.

Source:
J Appl Physiol. 2001 Jul;91(1):115-22.