ergo-log.com

Definition: "An ergogenic aid is any substance or phenomenon that enhances performance "

about us

/

contact

/

Ergo-Log

10.10.2016


Long-term rise in testosterone levels as a result of cryotherapy after explosive training

Athletes who spend a few minutes in an extremely cold cryochamber after doing an explosive training session synthesise more testosterone for a long period than athletes who do not do cryotherapy, write non-EU sports scientists soon in the Journal of Strength and Conditioning Research.

Study
The researchers, at the university of Swansea in England, got 14 elite footballers to sprint on 15 occasions. Each sprint took half a minute, and after each sprint the athletes had to slow down fast within a space of 10 metres. This procedure, which sports scientists call forced deceleration, is an extra exertion on the muscles.

Testosterone
Between the sprints the footballers rested for one minute.

On one occasion the athletes just sat out the minute after their session, sitting on a chair [Con]. On another occasion the researchers put the subjects in a cryochamber within twenty minutes of their last session.

The players first spent 30 seconds in a chamber at a temperature of -60 degrees Celsius. After that they spent 2 minutes in a second chamber where the temperature was -135 degrees Celsius.

Results
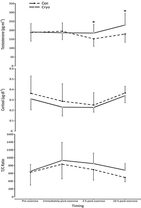
The cryotherapy boosted the testosterone concentration in the subjects' saliva. The researchers observed no statistically significant effects on the amount of cortisol in the subjects' saliva. And the ratio between the concentrations of testosterone and cortisol didn't change either.


Long-term rise in testosterone levels as a result of cryotherapy after explosive training



The researchers checked the footballers' explosive capacity by getting them to do the countermovement jump, 2 hours after the sessions and 24 hours after. They observed no effects from the cryotherapy. Nor did the cryotherapy influence the concentrations of lactic acid and creatine-kinase in the blood.

Conclusion
"A single session of whole body cryotherapy elicited greater testosterone concentrations for 24 hours after repeated sprint exercise when compared to a passive recovery protocol despite selected physiological, performance and perceptual markers being unaffected", the researchers summarised. "Consequently, whole body cryotherapy administered shortly after intermittent exercise may offer an ergogenic strategy for soccer players involved in a congested fixture or training period."

Source:
J Strength Cond Res. 2016 May 21. [Epub ahead of print].

More:
Cryotherapy helps athletes recover faster 15.01.2012

Archives:
Boosting Testosterone
Sprint Training