ergo-log.com

Definition: "An ergogenic aid is any substance or phenomenon that enhances performance "

about us

/

contact

/

Ergo-Log

03.04.2011


Hormone therapy with a strong lamp

Simply sitting in front of a strong lamp for an hour: endocrinologists from Los Angeles think this can help men raise their testosterone level. They have a few reservations, but their research is promising.

Testosterone
Hormone therapy with a strong lamp
There is a relationship between melatonin and testosterone. As the melatonin level rises towards the end of the day, testosterone levels start to plummet. At the end of a night's sleep, melatonin levels start to fall and testosterone production peaks. This cycle is essential to healthy testosterone levels.

In the dark winter months, however, the melatonin level is higher than normal, and the testosterone level is lower in many animals.

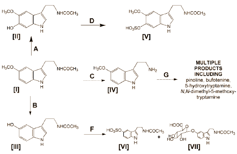
Light makes melatonin disappear. Light activates the enzymes that break down melatonin. How melatonin [I] breaks down is sketched here below. The researchers examined the urine of their subjects and measured the concentration of the metabolite 6-sulfatoxymelatonin [V].


Hormone therapy with a strong lamp


Study
For their experiment the researchers used healthy men aged between 19 and 30. They woke their subjects up 5 days in a row at 5 o'clock in the morning and placed them in front of a light box, emitting light at 1000 lux for 60 minutes. [Bright light] They repeated the experiment, this time exposing the men to dim red light of less than 10-lux strength. [Placebo light] After the light therapy the men were allowed to go back to sleep.

Results
The figure below shows the effect of the light treatment on the average LH concentration over a 24-hour period. Strong light raised the LH concentration by 69.5 percent.


Hormone therapy with a strong lamp


Hormone therapy with a strong lamp


Hormone therapy with a strong lamp


Just after a light therapy session [Onset] the researchers observed a sharp rise in 6-sulfatoxymelatonin [aMT6s] in the urine. Although there seems to be a strong relationship, the researchers are hesitant to conclude that light therapy raises the LH level as a result of melatonin breakdown.

The researchers did not measure whether light therapy also leads to a rise in testosterone. But they do think that, for some groups at least, light therapy may be a suitable form of hormone therapy.

Conclusion
"The effects of light exposure on the LH secretion of normal volunteers should be replicated in depressed patients to elucidate the therapeutic effect of light exposure on the decreased LH levels and sexual dysfunctions of depression", they write. "Other applications deserve study, such as use of light for impotence or to trigger ovulation."

Source:
Neurosci Lett. 2003 Apr 24;341(1):25-8.