ergo-log.com

Definition: "An ergogenic aid is any substance or phenomenon that enhances performance "

about us

/

contact

/

Ergo-Log

04.09.2008


High T-man spends longer on the same dirty books

You know the cliché: testosterone is the hormone that makes men men. It's the hormone that makes men go after women and crush whatever obstacles may lie on their path. If it weren't for the ability of brain tissue to store norms and values, men would do nothing but amass women and smash in the skulls of their competitors.

Testosterone
That's the cliché. Now for the article published by researchers at Emory University in Hormones & Behavior. In their study the researchers did tests on fifteen healthy young men in their twenties. The researchers measured the concentration of testosterone in the men's blood and then got their subjects to look at photos of "heterosexual activities" on a laptop.

In the photos, taken from porn sites and selected by an expert panel of males for their "arousability", the test subjects got to see "oral sex to male, oral sex to female, female dominant intercourse facing male partner, female dominant intercourse away from male partner, male dominant intercourse from front of female partner and male dominant intercourse from behind female partner".

The subjects could determine themselves how long they looked at the pictures – and indeed, the researchers noted how long the men waited before clicking on to the next picture.

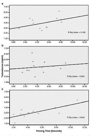
The researchers held three consecutive sessions – a, b and c in the figure below. In each session the men got to see the same pictures, in the same order.

The figures below show you how much time the men spent on the photos.

High T-man spends longer on the same dirty books

The researchers had expected that the men would look longer at porn if they had more testosterone in their blood. More testosterone = more interest in sex = more interest in porn.

But the researchers had not expected that the relation would be stronger the more familiar the pictures became. This doesn't fit in the usual testosterone picture – testosterone as the hormone that drives man the woman-hunter. In this scenario, testosterone would have more effect on men watching pornographic images the first time they see them. But the results of the experiment show that testosterone increases the interest in sex in familiar surroundings.

Men who go after women are undoubtedly driven by hormones or other endogenous factors, the researchers believe – but not by testosterone. Testosterone is the hormone that keeps men with the women they already have.

Sources:
Horm Behav. 2007 Dec;52(5):581-9.