ergo-log.com

Definition: "An ergogenic aid is any substance or phenomenon that enhances performance "

about us

/

contact

/

Ergo-Log

11.03.2015


High-intensity cardio too much for obese people

They are wildly popular, the fast but high-intensity fitness training sessions that gyms advertise to lure new members. The promise of a fitter, slimmer you in no time at all still works. But although high-intensity interval training is known to work, there's a growing fear that the fitness industry is shooting itself in the foot with the trend. An American wrote a PhD thesis in which she suggests that high-intensity training might lead to a decrease in motivation to go to the gym, and therefore also to more drop outs in the long term.

Drop out rate

Of all the people who start doing fitness, only a fraction keep it up for a year. Most drop out – and that is usually because they don't like doing exercise. The less you like doing exercise, the bigger the chance you'll give up. So it's strange that when the huge increase in high-intensity training programmes started about ten years ago, almost no one thought to investigate how untrained people experience high-intensity training.

Study
In 2009 the American sports scientist Emily Sue Decker wrote a thesis at Iowa State University on the psychological effects of high-intensity training. Decker got 24 obese – average BMI 35 – and inactive women to do cardio training on different two occasions.

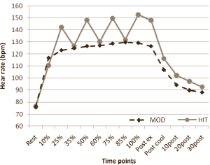
On one of the occasions they did a traditional workout, for which the women cycled for 25 minutes at 90 percent of their ventilatory threshold. The women kept up a constant speed. They were just unable to carry out a conversation, but didn't quite reach their ventilatory threshold. The ventilatory threshold is the point at which exertion becomes so intensive that you have to start breathing more deeply than normal to be able to provide oxygen for your muscles.

On the other occasion the women did a high-intensity training session. This lasted 20 minutes and consisted of 4 cycles. In each cycle the women cycled for 1 minute at 115 percent of their ventilatory threshold. At the end of the minute, the women cycled for 2 minutes at 85 percent of their ventilatory threshold.

During both workouts the women burned about 200 kilocalories.

Results
During the intense part of the high-intensity training [HIT] the women's heart rate and oxygen uptake was higher than it was when they did the moderately intensive training [MOD].


High-intensity cardio too much for obese people


High-intensity cardio too much for obese people


High-intensity cardio too much for obese people


High-intensity cardio too much for obese people


The women became more fatigued [RPE] during the high-intensity workout than during the moderately intense workout.

During the moderately intense workout the women started to feel less well [FS], but during the high-intensity training they felt even worse. The researchers used a scale from 5 [Extremely good] to -5 [Extremely bad].

Conclusion
"The HIT protocol used in the current study appears to be even more challenging than the traditional MOD format for obese inactive women", the researcher wrote. "These data may have implications for the practicality and long-term sustainability of HIT training protocols in the domain of public health. In evaluating the appropriateness of the HIT approach for inactive obese women, exercise practitioners should take into consideration the impact of this method on affective responses, as well as its possible implications for adherence."

Source:
Decker, Emily Sue, "Affective responses to physical activity in obese women: A high-intensity interval bout vs. a longer isocaloric moderate-intensity bout" (2009). Graduate Theses and Dissertations. Paper 11021.