|
Fish oil helps aging mice live longer
Fast-aging mice live longer and stay on the ball on a diet with relatively large amounts of polyunsaturated fatty acids. Read: fish fatty acids.
Study
SAMP8 mice age more quickly than ordinary mice. They live for 10-17 months. The letters SAMP stand for senescence-accelerated-prone mice. SAMP-8 mice are a favourite with Alzheimer's researchers because these lab animals quickly start to develop problems with gathering and retaining information. At a young age amyloid-beta peptides start to form in their brains. These are the building blocks of the plaques that are also found in the brains of human Alzheimer's patients.
Nutritionists at the Nara Women's University in Taiwan wanted to know whether playing with the fatty acid composition of the mice's diet would increase their lifespan and learning capacity. They divided their lab animals into 4 groups, and gave each group a slightly different diet for their entire lifespan.
Results
The mice in the Fish + Soy group, which were given both fish oil and soya oil, lived the longest. Over half of the animals in this group were still alive after 12 months. The survival percentages in the Lecithin + Soy group, the Soy and the Lard groups were 40, 30 and 20 percent respectively.

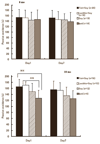
The researchers measured the learning capacity of the mice by giving them electric shocks every time they went into the darkened part of their cage. The more often the mice avoided the dark part of the cage 1 and 7 days later [passive avoidance], the better their memory. The figure above shows that, certainly once the mice had reached 10 months, a diet containing fish and soya oil protected their learning capacity.
Conclusion
The researchers think that fish oil is the important life-extending factor in the Fish + Soy group. Fish oil was also responsible for improving the mice's memory, they think.
That the Lecithin + Soy group absorbed information as well as the Fish + Soy group is probably because lecithin supplementation leads to an enhanced production of acetylcholine in the brain. Acetylcholine is a neurotransmitter that plays a key role in learning processes.
Source:
J Nutr Sci Vitaminol (Tokyo). 2011;57(1):36-41.
More:
Fish oil lengthens life in animal study 07.02.2010
|