ergo-log.com

Definition: "An ergogenic aid is any substance or phenomenon that enhances performance "

about us

/

contact

/

Ergo-Log

19.05.2014


Fifty times more effective than ordinary curcumin

Fifty times more effective than ordinary curcumin
A new curcumin supplement is fifty times more effective than common-or-garden curcumin. American researchers write about it in Nutrition Journal.

Curcumin
Anti-oestrogen, testosterone booster, bone-builder, anti-carcinogenic, anabolic, slimming and anti-depressant. Curcumin does it all. No wonder that the figures published in Nutrition Business Journal show that curcumin is one of the ten bestselling supplements in the US, and experts believe curcumin is set to be as big a success as omega-3-fatty acids. [nutraingredients-usa.com 07-Nov-2013]

Bioavailability
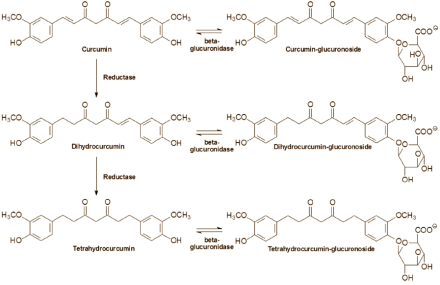
One slight problem is that the body does not absorb curcumin easily. Or more precisely: the small intestine absorbs curcumin but it is almost immediately converted into inactive or less active substances.

The diagram below shows on the left how curcumin is converted into the still active dihydrocurcumin and tetrahydrocurcumin, and on the right how enzymes glucuronidate curcumin and its metabolites thus practically deactivating them.


Fifty times more effective than ordinary curcumin


Formulations

Ingredients suppliers and researchers have thought of ways to boost the uptake of curcumin, for example by combining it with piperine, as we wrote about recently.

The manufacturer of BCM-95((R))CG tried another method and combined curcumin with turmeric oil. [Indian J Pharm Sci. 2008 Jul-Aug;70(4):445-9.] [CTR] Another technology is to combine curcumin with lecithin to form 'curcumin phytosomes'. [J Nat Prod. 2011 Apr 25;74(4):664-9.]

In its new curcumin product CurcuWin, the American manufacturer OmniActives [omniactives.com] uses yet another method: combining curcumin, vitamin C, vitamin E and polyvinyl-pyrrolidone forms a complex that is soluble in water. [CHC]

Comparison
Earlier in 2014 Ralf Jaeger of Increnovo, a company that develops new technologies for the food and supplements industry, published the results of a study sponsored by OmniActives in which he compared the preparations mentioned above. [Nutr J. 2014 Jan 24;13:11.] In the study 12 subjects were given the same quantity of curcumin but in different forms on four different occasions.

The subjects did not eat at the same time as taking the supplements. Later in the day they ate two meals. The researchers measured the curcumin level in their blood 12 hours after intake. The figures below show that the sponsor's product performed best. In second place came the application in which the manufacturer had combined curcumin with lecithin.


Fifty times more effective than ordinary curcumin


Fifty times more effective than ordinary curcumin


Fifty times more effective than ordinary curcumin


Conclusion
"A formulation of curcumin with a combination of hydrophilic carrier, cellulosic derivatives and natural antioxidants significantly increases curcuminoid appearance in the blood in comparison to unformulated standard curcumin CS (45.9-fold), CTR (34.9-fold) and CP (5.8-fold)", the researchers conclude.

Source:
Nutr J. 2014 Jan 24;13:11.

More:
Piperine makes curcumin more effective 29.04.2014