ergo-log.com

Definition: "An ergogenic aid is any substance or phenomenon that enhances performance "

about us

/

contact

/

Ergo-Log

16.04.2014


Dream what you want with DMAE

Dimethylaminoethanol (DMAE)
Just occasionally it's possible to determine your dreams. Then, you can even manage to fly, just like Superman, you can speak the truth to your boss, become world famous, whatever. By taking dimethylamino-ethanol, or DMAE for short, you can increase the chances of this happening.

DMAE
DMAE is available in every vitamin shop, and is an ingredient in some vitamin supplements, even though it's not a vitamin itself. In the body DMAE is converted into choline. And choline is a precursor of the neurotransmitter acetylcholine. Acetylcholine is involved in memory function, but also in the brain's control of the muscles.


Just occasionally it's possible to determine your dreams. Then, you can even manage to fly, just like Superman, you can speak the truth to your boss, become world famous, whatever. By taking dimethylamino-ethanol, or DMAE for short, you can increase the chances of this happening.


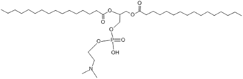
Phosphatidylcholine
One theory is that DMAE supplementation increases the amount of choline available for the biosynthesis of acetylcholine. The reasoning is that DMAE enters the brain more easily via the bloodstream than choline.

Another theory is that DMAE replaces choline in the brain when brain cells need to manufacture phosphatidylcholine [structural formula above] for their membranes. This causes the cells to produce phosphatidyldimethylamino-ethanol [structural formula below] instead. Brain and nerve cells with phosphatidyldimethylamino-ethanol in their membrane are thought to transmit impulses better than cells with phosphatidylcholine.


Just occasionally it's possible to determine your dreams. Then, you can even manage to fly, just like Superman, you can speak the truth to your boss, become world famous, whatever. By taking dimethylamino-ethanol, or DMAE for short, you can increase the chances of this happening.


Study
In 1988 W. Sergio published an article in Medical Hypotheses about experiments that he and his wife had performed with DMAE to induce 'lucid dreaming' – the name for dreams in which you have control over what happens.

Lucid dreams are interesting for people involved in care jobs, Sergio argued. They can be an outlet for frustrations; they can help make obsessions and anxieties easier to deal with, and can help athletes to improve their motor skills.

Sergio describes below how he used DMAE to help induce lucid dreams.


Just occasionally it's possible to determine your dreams. Then, you can even manage to fly, just like Superman, you can speak the truth to your boss, become world famous, whatever. By taking dimethylamino-ethanol, or DMAE for short, you can increase the chances of this happening.


Sergio experimented with different versions of DMAE. He obtained the best results with DMAE Lactate.

In the shops you're most likely to find DMAE Bitartrate, which contains just over a third 'real' DMAE.

Side effects
According to posts on the internet by users, DMAE is a mild stimulant. They often need many times the starters' dose of 50 mg DMAE daily that Sergio suggests. Not everyone actually gets lucid dreams as a result, although many users report that their dreams become livelier and that their daytime concentration improves. Too high doses can lead to tension, raised blood pressure, headache or sleep problems according to some reports.

DMAE occurs naturally in small quantities in sea fish. Salmon, anchovies and sardines contain at most several hundred micrograms per 100g.

Source:
Med Hypotheses. 1988 Aug;26(4):255-7.

Archives:
DMAE


Vitamin B6, the dream vitamin Three grams glycine improves your sleep 400-mg capsule of L-ornithine improves sleep

Vitamin B6, the dream vitamin
If you take a hefty dose of vitamin B6 before going to sleep, your dreams will be more intense, more emotional, more bizarre and more meaningful.

Three grams glycine improves your sleep
If you take 3 grams of glycine an hour before going to bed, you'll sleep better.

400-mg capsule of L-ornithine improves sleep
You'll fall asleep faster, sleep more deeply and for longer, and you'll feel better during the day.