ergo-log.com

Definition: "An ergogenic aid is any substance or phenomenon that enhances performance "

about us

/

contact

/

Ergo-Log

06.11.2011


Jungle Warfare contained delta-6-methyltestosterone

Doping hunters at the German Sport University have worked out what components the old version of the designer supplement Jungle Warfare contained. They found a steroid that Sterling-Winthrop did experiments with in the early sixties.

That there was something unusual about the first version of ALRI's supplement Jungle Warfare became clear just a few weeks after its launch. Users gained more strength and muscle mass than you'd expect from a supplement. Web forums reported side effects that resembled those of steroids, although they were mild in comparison with those of notorious designer supplements like Superdrol.

Jungle Warfare contained delta-6-methyltestosterone
In 2007 the Dutch magazine Sport & Fitness published analyses of Jungle Warfare. These showed that the product contained an anabolic steroid with a 17alpha-methyl group and several double bonds. The researchers couldn't be more specific. The product contained several analogues of the steroid they found. The concentrations of these were so high that the measuring equipment couldn't deal with them.

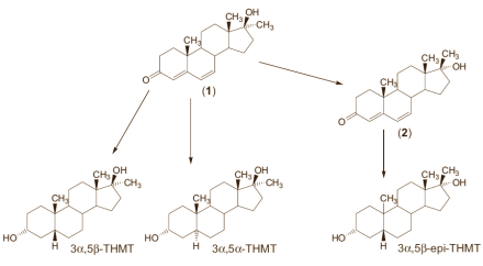
In Toxicology Letters [Toxicol Lett. 2011 Mar 5; 201(2): 101-4.] and Biology of Sport [Biol. Sport 2011; 28:153-157.] the Germans describe how they stumbled across Jungle Warfare when they found the steroid 17-alpha-methyl-5-beta-androstane-3-alpha,17-beta-diol in an athlete's urine sample. That's the inactive cousin of methyl-DHT.


Jungle Warfare contained delta-6-methyltestosterone


The researchers discovered that the culprit had the anabolic steroid 17beta-hydroxy-17alpha-methylandrosta-4,6-diene-3-one in his body. In other words: delta-6-methyltestosterone. Enzymes in the body had converted this steroid into yet other compounds. The diagram below shows which compounds these were.


Jungle Warfare contained delta-6-methyltestosterone


Delta-6-methyltestosterone is an anabolic steroid that was first mentioned in an article by chemists at Sterling-Winthrop Research Institute which was published in 1961. [Endocrinology June 1, 1961 vol 68, no 6. pp 987-95.] According to that study the steroid has about a quarter of the androgenic effect of ordinary methyltestosterone [V.P. in the figure below] and 61 percent of its anabolic effect [L.A.].


Jungle Warfare contained delta-6-methyltestosterone


The old Jungle Warfare contained 12 mg of the steroid in each capsule. The researchers do not say whether they also found analogues.

They examined several pots of Jungle Warfare that the athlete had in his possession. In only one of these did they find a steroid. The others apparently contained the new and steroid-free version of Jungle Warfare.

Source:
Toxicol Lett. 2011 Mar 5;201(2):101-4.

More:
This is what 1-Androsterone contains 03.03.2011
Analysis: P-Plex 12.05.2010
Wrong steroid in IBE's Epistane 27.04.2010