ergo-log.com

Definition: "An ergogenic aid is any substance or phenomenon that enhances performance "

about us

/

contact

/

Ergo-Log

19.02.2022


Daily intake of 3 tablespoons of virgine olive oil halves the risk of frailty in people over sixty

People over sixty who consume 3 tablespoons of olive oil daily through their diet are about fifty percent less likely to experience accelerated physical decline than peers who consume no more than 1 tablespoon of olive oil a day. According to a Spanish epidemiological study published in Age and Aging, virgin olive oil in particular reduces the risk of fragility.


Daily intake of 3 tablespoons of virgine olive oil halves the risk of frailty in people over sixty


Study
In 2008-2010, epidemiologists from Universidad Autonoma de Madrid-IdiPaz recruited 1,896 people over 60. The researchers followed these study participants for an average of 3.5 years.

When the study began, the researchers found out how much olive oil the study participants consumed. During the study, 135 study participants became frail. Fragile elderly people are tired most days of the week, lose muscle strength, are no longer or hardly physically active, can only move slowly and experience unvoluntary weight loss.

Results
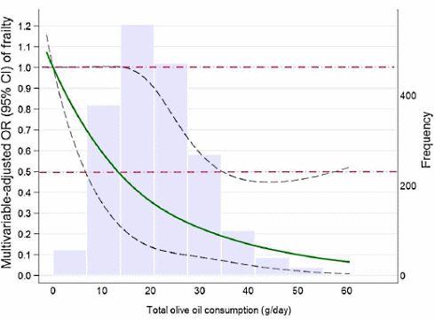
The more olive oil the study participants consumed daily, the less likely they were to become fragile.


Daily intake of 3 tablespoons of virgine olive oil halves the risk of frailty in people over sixty


When the researchers divided the study participants into three equally sized groups based on their olive oil intake, they found that the group with the highest intake (equivalent to about three tablespoons of olive oil per day) had a fifty percent lower risk of frailty than the group with the lowest intake (which was roughly equivalent to 1 tablespoon per day).

The researchers again divided their data into virgin olive oil, which contains a relatively high amount of phenols, and regular olive oil. They discovered that virginity in particular protected olive oil against fragility.

Click on the table below for a larger version.


Daily intake of 3 tablespoons of virgine olive oil halves the risk of frailty in people over sixty


Conclusion
"In this prospective study in older adults, olive oil was associated with lower risk of frailty and most of its individual criteria", write the researchers.

"This study also suggests that virgin olive oil should be the preferent culinary oil for frailty prevention in older adults."

"This evidence, in conjunction with future research, has the potential to inform public policy and dietary recommendations to promote healthy ageing."

Source:
Age Ageing. 2022 Jan 6;51(1):afab198.

More:
Human study: olive leaf supplement increases insulin sensitivity 30.04.2018
In muscle tissue, the olive phytochemical oleuropein imitates the effect of insulin 27.04.2018
Oleuropein boosts testosterone level, lowers cortisol secretion, stimulates anabolism 17.12.2013

Archives:
Olive Oil


Green olives for a toned body Oleocanthal, the anti-oestrogen in olive oil More adrenalin through olive oil

Green olives for a toned body
Terrible headline.

Oleocanthal, the anti-oestrogen in olive oil
It's found in vierge or virgin olive oil: (-)-oleocanthal, a compound that has anti-carcinogenic and anti-oestrogenic properties.

More adrenalin through olive oil
A diet in which virgin olive oil is the main source of fat is not only healthy because of the beneficial fatty acids that olive oil contains.