ergo-log.com

Definition: "An ergogenic aid is any substance or phenomenon that enhances performance "

about us

/

contact

/

Ergo-Log

06.10.2011


Creatine improves swimmers' 50 m times

It seems swimmers benefit from creatine too. Sports scientists from Iran will publish an article in Science & Sports showing that 6 days of creatine supplementation improved swimmers' times over 50 metres.

Creatine is the most researched and most effective sports supplement on the market. It's no wonder that so many athletes already use or have used creatine. Studies have shown that in the US creatine is widely used, in gymnastics, football, wrestling, hockey, lacrosse, and even in cheerleading. [Pediatrics 2001 Aug; 108(2): 421-425.]

It looks as though this use is likely to continue. Studies are still showing that creatine supplementation can improve performance even in a sport where you wouldn't expect to see this. The latest Iranian study is one of these.

The researchers experimented with twenty male amateur swimmers, aged 20-21. Ten of them were given a placebo [PL]; ten were given four daily doses of 5 g creatine monohydrate [CR]. The researchers dissolved the supplement in apple juice. Both groups followed the same training programme for the six days the experiment lasted.

When the six days were up, the swimmers in the creatine group swam the 50 m breaststroke in 2.4 seconds less than they had done before the supplementation started. The time of the swimmers in the placebo group only went down by 1.4 seconds. The effect was not significant.

The times for the 100 m improved by the same amount in both groups.


Creatine improves swimmers' 50 m times


Creatine improves swimmers' 50 m times


Creatine improves swimmers' 50 m times


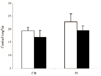
The creatine supplementation boosted the subjects' testosterone level significantly. Their cortisol level went down, but not by a significant amount. The researchers don't think that the rise in the testosterone level was responsible for the performance improvement. The swimmers in the creatine group whose testosterone level rose higher didn't have better times.

Source:
Science & Sports Volume 26, Issue 5, November 2011, Pages 272-277.

More:
Fenugreek improves effect of creatine more than carbs 08.08.2011
Nothing wrong with DIY creatine drink 21.07.2011
Creatine-Q10 combination protects brain cells and lengthens lifespan: animal study 15.07.2011