ergo-log.com

Definition: "An ergogenic aid is any substance or phenomenon that enhances performance "

about us

/

contact

/

Ergo-Log

18.08.2020


C60 is orally available

C60 is orally available
Do elite athletes secretly use C60? We jokingly asked this question two days ago, when we wrote a post about the effect of intramuscular injections of C60. After reading an animal study that researchers from the Gdansk University of Physical Education and Sport published in Frontiers in Physiology, we ask this question again, but this time we are serious. According to the Poles, C60 is orally available.

Study
The experimental design of the Poles is very similar to that of the study of the Ukrainian biophysicists in which laboratory animals received intramuscular injections. A difference between the two studies is that the Poles did not inject their active substances intramuscularly, but injected them into the small intestine of their lab rats. And yes, there was also a group of rats that were given C60 orally.

By the way, the Poles used C60 dissolved in water.

The researchers injected a group of lab rats with 0.14 milligrams of C60 per kilogram of body weight into their small intestines. After the injection, the researchers stimulated the triceps surae in the hind legs of the rats with several series of electric pulses, and at the same time measured with how much force the muscle could contract.

Another group of rats were given a daily oral dose of 0.225 milligrams C60 per kilogram of body weight for 5 days. If the rats had been humans, they would have been givenn 2-3 milligrams of C60 daily. This corresponds to doses mentioned by experiences users on the boards.

The researchers injected rats in other groups with a relevant dose of beta-alanine or N-acetylcysteine into their small intestine.

Results
The bottom left of the figure below shows the rapid decrease of the force with which the leg muscles could contract during the successive series of stimuli. The bottom right shows how both the intestinal injections with C60 and the orally administered C60 prevented this decrease.


C60 makes muscles tireless


C60 makes muscles tireless


C60FAS = C60 Fullerene Aqueous Colloid Solution.

The figure above compares the effect of C60 with that of beta-alanine and N-acetylcysteine. In this experimental design, the substances are not inferior to each other. However, the researchers note that in a few lab animals that were given C60, the measured muscle strength increased during the experiment. This increase did not occur in the test animals in other groups.

Mechanism
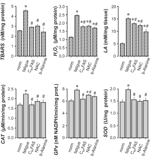
As far as Poles can determine, C60, beta-alanine and N-acetylcysteine work in a similar way. They reduce free radical damage, inhibit the formation of lactic acid and make that the muscle cells have to produce less antioxidant enzymes such as catalase and SOD.


C60 makes muscles tireless


Does C60 have any side effects?
We are still not sure about that. Still coming.

Source:
Front Physiol. 2018 May 15;9:517.

More:
C60 makes muscles tireless 16.08.2020
C3, the 'successor' to C60 (note the quotes, dear readers) 10.08.2020
Can C60 double your lifespan? 09.08.2020

Archives:
C60


New follistatin analogue makes muscles 19 percent larger in a week Alpha-cedrene, a completely new kind of anabolic from cedar oil Pericytes | Blood vessel wall cells that make muscles grow

New follistatin analogue makes muscles 19 percent larger in a week
Danish researchers have developed a drug that deactivates the muscle growth inhibiting protein myostatin, but does not have the side effect that hangs like a dark shadow over current myostatin research.

Alpha-cedrene, a completely new kind of anabolic from cedar oil
Building muscle by interacting with OR10J5.

Pericytes | Blood vessel wall cells that make muscles grow
American scientists are experimenting with a new medical technology that may accelerate muscle growth.