|
Definition: "An ergogenic aid is any substance or phenomenon that enhances performance "
|
|
||||||||
08.01.2011 |
|
|
BCAAs prevent swimmers' muscles from breakdown
It's not only strength athletes that benefit from supplements containing branched-chain amino acids [BCAAs]. BCAAs also protect swimmers' muscles, nutritionists at National Taiwan Normal University discovered.
BCAAs
Study
For a period of two weeks, the subjects took 4 g BCAAs three times a day, a daily total of 12 grams. The researchers then repeated the procedure on another occasion, but gave the students a placebo. At the end of the supplementation or placebo period the subjects had to swim freestyle for 25 minutes, covering as great a distance as possible. Then they had to swim 600 m in as short a time as possible.
Results
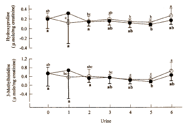
Measurement 3 was done on the day of the exertion tests, but before that the subjects had undertaken exercise. Measurement 4 was taken after 25 minutes of swimming. Measurement 5 was taken later in the day, after the subjects had swum the 600 m. Measurement 6 was taken on the day after the exertion tests.
Hydroxyproline is a metabolite of proline, an amino acid found primarily in the collagen of connective tissue. It is an indicator of cartilage breakdown. 3-Methyl-Histidine is an indicator of muscle tissue breakdown.
BCAAs didn't improve the swimmers' times, and did not make them more muscular.
Conclusiom
More studies
According to a 2007 study, BCAA supplementation only on the day that intensive exercise is done also has an effect. [Int J Sport Nutr Exerc Metab. 2007 Dec; 17(6): 595-607.] In this experiment untrained subjects had to cycle for 90 minutes at 55 percent of their VO2max. Before and after the session the subjects were given 25 g BCAAs or a placebo. Taking the supplement inhibited the increase in creatine kinase and lactate dehydrogenase. Moreover, the test subjects experienced less muscle soreness and regained their strength more quickly.
Source:
More:
|
|