ergo-log.com

Definition: "An ergogenic aid is any substance or phenomenon that enhances performance "

about us

/

contact

/

Ergo-Log

09.10.2010


Acupuncture strengthens muscles

Leg muscles can be strengthened through acupuncture treatment, according to a study done at the Goethe University Frankfurt and published in the European Journal of Applied Physiology. The researchers used 33 recreational athletes as their test subjects.

Acupuncture strengthens muscles
In nearly all studies on the use of acupuncture in sport, researchers have looked at whether acupuncture helps to reduce pain, but there are lots of rumours of athletes who use acupuncture to enhance their performance. A case study was published in 2011 about a pentathlete who used acupuncture for seven years. And apparently with success, as the athlete reached the top.

In this study the researchers treated 13 female and 20 male amateur athletes in their mid-twenties, using massage and needles on the following classical acupuncture points: Zusanli (stomach 36), Sanyinjiao (spleen 6), Qihai (conception vessel 6) and Shenmen (ear point 55).

The researchers repeated the procedure but gave the subjects a fake acupuncture treatment [Sham Acu] or a fake laser-acupuncture treatment [Placebo Laser Acu].

In the fake acupuncture session the needles were inserted in the wrong places. In the fake laser treatment the laser was not turned on, but neither the therapists nor the subjects knew this.

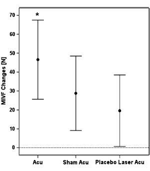
After treatment the subjects had to sit on a sort of leg-extension machine. It was impossible to move the weight, but they had to try to do so as hard as they could for 30 seconds. While they were doing this, the researchers measured the maximum isometric voluntary force that the leg muscles were capable of developing. The figure below shows the number of Newtons that the maximum isometric voluntary force increased as a result of treatment – compared with no treatment. To give you an idea of the effect: you need ten Newtons to get 1 kg into motion.


Acupuncture strengthens muscles


Only the difference between the effect of the acupuncture treatment and the fake laser treatment was statistically significant.

"The present study shows that a one-session acupuncture treatment was efficacious for improving isometric quadriceps strength in recreational athletes", write the Germans. "Future prospective studies should evaluate whether acupuncture induced strength gains would carry over to athletic performance."

The study was financed by the German Medical Association of Acupuncture.

Source:
Eur J Appl Physiol. 2010 Sep; 110(2): 353-8.

More:
'Athlete reached the top with acupuncture' 19.01.2010