ergo-log.com

Definition: "An ergogenic aid is any substance or phenomenon that enhances performance "

about us

/

contact

/

Ergo-Log

21.10.2010


Study looks at effects of 16 weeks of growth hormone and testosterone

A 3 kg lean mass gain and 2 kg fat loss: that's the modest result of 16 weeks of growth hormone and testosterone [see their spatial and structural formulae here below] in men aged about 70. American doctors published their study of 112 men in the Journal of Clinical Endocrinology & Metabolism.

Growth Hormone

Testosterone
Between the ages of 70 and 80, elderly people who are inactive lose 30 percent of their muscular strength. That's the same loss as takes place between the ages of 50 and 70. So that means that over the age of 70 muscular strength declines twice as fast. The aim of the study was to find out whether growth hormone and testosterone have any effect on this. The subjects didn't do any training.

The researchers deactivated the subjects' testosterone production by giving them leuprolide. Then they divided the subjects into 6 groups.

Group A rubbed 5 g testosterone gel into their body every day, so the subjects' hormone level was equivalent to the normal amount in people of this age. The gel was made by Solvay.

Group B, in addition to the testosterone, were given an injection of about 0.75 IE growth hormone 2-3 hours after their evening meal. This amount has an anabolic effect in adults who for medical reasons do not make enough growth hormone themselves. The preparation used was made by Genentech. Group C injected about 1.27 IU growth hormone.

Group D rubbed in 10 g testosterone gel. This gave the subjects a hormone level similar to that of young men.

Group E, in addition to the testosterone, injected 0.75 IU growth hormone, and group F injected 1.27 IU growth hormone.

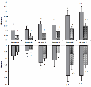
The figure below shows the increase in lean mass in the test subjects. The dark bars represent the lean mass in the arms and legs. The lower figure shows the amount of fat that the subjects lost. The dark bars represent fat mass in the trunk. The results confirm what bodybuilders know already: growth hormone and testosterone reinforce each other's effects.


Study looks at effects of 16 weeks of growth hormone and testosterone


The subjects did not become fitter as a result of the treatment, but they did become stronger. But this was only the case in the group that rubbed in 10 g testosterone gel daily. When combined with growth hormone, the test subjects' strength increased by 30 percent. That's the amount they would otherwise lose between the ages of 70 and 80.


Study looks at effects of 16 weeks of growth hormone and testosterone

Study looks at effects of 16 weeks of growth hormone and testosterone


The treatment caused an increase in blood pressure and made the subjects' blood a bit thicker too. And the concentration of the prostate cancer protein PSA rose. Markers for diabetes, like morning blood sugar level, HOMA-IR and QUICKI, rose, as did the amount of triglycerides measured. The effects were statistically significant, but not a cause for alarm in the doctors' view.

But what the long-term combination of effects might be, the researchers do not say. They suggest that people who intend to take testosterone and growth hormone should be under constant medical supervision.

"Combined administration of physiological doses of testosterone and rhGH resulted in substantial gains in lean mass and voluntary muscle strength, along with reductions in total and trunk fat that were of greater magnitude than treatment with testosterone alone", the researchers conclude.

Source:
J Clin Endocrinol Metab. 2009 Jun; 94(6): 1991-2001.

More:
Study shows effect of six months on testosterone enanthate and Nutropin 11.05.2010