ergo-log.com

Definition: "An ergogenic aid is any substance or phenomenon that enhances performance "

about us

/

contact

/

Ergo-Log

11.01.2024


Low-cal sweetener erythritol enhances testosterone levels in diabetics | Animal study

Erythritol, a low-calorie sweetener that is gaining popularity in Western countries, may be able to increase testosterone production in men with diabetes - and perhaps also in healthy men. This is suggested by an animal study published in Biochemical and Biophysical Research Communications.


Low-cal sweetener erythritol enhances testosterone levels in diabetics | Animal study


Study
Nigerian researchers, affiliated with Ladoke Akintola University of Technology, experimented with 5 groups of male rats for 8 weeks.

Rats in a control group were healthy and were not administered any active substances [Control].

Rats in a second group of rats were also healthy and received erythritol [Ery]. Erythritol is produced when yeasts convert glucose. Erythritol is a sweetener that provides only 0.2 kilocalories per gram. In Japan, the food industry has been using erythritol since the 1990s.

The EFSA believes that adults can consume approximately 0.5 grams of erythritol per day and per kilo of body weight. Diarrhea may occur with a higher intake. [EFSA J. 2023 Dec 20;21(12):e8430.] An adult weighing 80 kilos could therefore tolerate a maximum of 40 grams of erythritol per day. We, the simpletons of this free web magazine, honestly think this amount is on the high side. In practice, consumers can already experience abdominal complaints from ingesting 20 grams of erythritol per day.

The human equivalent of the dose the Nigerians gave to their rats was about 10 grams per day. This amounts to 2 teaspoons.

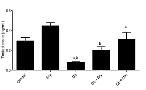
Rats in a third group were diabetic and did not receive any active substances [Db]. Rats in a fourth group were diabetic and received erythritol [Db + Ery], while rats in a fifth group were diabetic and received metformin [Db + Met].

With diabetes, testosterone production decreases. Aggressive molecules, which are caused by an excessive presence of glucose, play a key role in this. Because erythritol not only reduces the absorption of glucose and enhances the action of insulin [Eur J Nutr. 2018 Oct;57(7):2431-44.] but also has an antioxidant effect, [Nutrition. 2010 Apr;26(4):449-58.] Nigerians wondered whether erythritol could help maintain hormone balance in diabetes.

Results
Diabetic rats produced less testosterone, LH and FSH than healthy rats, but supplementation with erythritol significantly reduced the negative impact of diabetes. In the healthy test animals given erythritol, the Nigerians found more testosterone than in the Control group - but the difference was not statistically significant.


Low-cal sweetener erythritol enhances testosterone levels in diabetics | Animal study

Low-cal sweetener erythritol enhances testosterone levels in diabetics | Animal study

Low-cal sweetener erythritol enhances testosterone levels in diabetics | Animal study


Mechanism
Diabetes reduced the activity of enzymes such as 17-beta- and 3-beta-hydroxysteroid dehydrogenase in the testes. You can read more about the role of these enzymes in the biosynthesis of testosterone in the 11th chapter of our Anabolics Book.

Diabetes reduced the activity of antioxidant enzymes such as superoxide dismutase, the activity of VEGF and the function of the proton pump in the testes. Supplementation with erythritol reduced all these effects - and sometimes even eliminated them completely.

Conclusion
"Our results indicate that the elevated oxidative stress in the sperm and testes of diabetes rats is accompanied by reproductive impairment shown by reduced reproductive hormones (LH, FSH and testosterone), abnormal sperm parameters, and alteration in testicular biochemical and histo-architectural property", the researchers write.

"However, erythritol intake improved all these alterations."

Source:
Biochem Biophys Res Commun. 2024 Jan 1:690:149254.

More:
Tongkat Ali increases testosterone levels in hypogonadal men | Meta-study 08.12.2023
Gram D-chiro inositol gives men more testosterone 29.05.2023
How Tamarindus indica seeds may increase testosterone levels in men 27.05.2022
Heavy training + betaine = more testosterone 04.05.2022
How vitamin D increases testosterone levels 12.03.2022

Archives:
Boosting Testosterone


Rooiboos-dandelion combination increases testosterone levels, human study Alpinia galanga, a kitchen spice that increases testosterone levels Luteolin, a testosterone booster from parsley

Rooiboos-dandelion combination increases testosterone levels, human study
A combination of extracts of rooibos - yep, the stuff you make tea from - and the equally common dandelion increase testosterone levels.

Alpinia galanga, a kitchen spice that increases testosterone levels
Laos powder, found in every supermarket, is made from the roots of the Asian plant Alpinia galanga. This plant is related to ginger. And just like ginger...

Luteolin, a testosterone booster from parsley
Canadian chemists at Moncton University have published an in vitro study in Cell Biology and Toxicology that is of particular interest to the supplement industry.