ergo-log.com

Definition: "An ergogenic aid is any substance or phenomenon that enhances performance "

about us

/

contact

/

Ergo-Log

17.12.2019


Eating time restriction makes you healthier

Eating time restriction makes you healthier
The result of a lifestyle with too much poor quality food and little exercise has disastrous consequences for your cardiovascular health and your insulin sensitivity. Doctors summarize that result with the term 'metabolic syndrome'. Researchers at UC San Diego discovered that this syndrome is easy to combat by reducing the number of hours you eat every day.

Study
The researchers experimented with 19 test subjects with metabolic syndrome. 84 percent of them used drugs such as statins and blood pressure lowering drugs. Before the trial began, the subjects ate for 14-15 hours per day. During the experiment they reduced that to 10 hours. That meant they ate between ten in the morning and six in the afternoon.

The experiment lasted 3 months. The test subjects were allowed to eat whatever they wanted during that period. They did not have to exercise or change their way of life in any other way.

Results
Although the test subjects had 4 hours less time to eat per day, their energy intake only decreased a bit. Nevertheless, the subjects lost an average of 3 kilos, their fat percentage dropped one point and their waist became 5 centimeters smaller.


Eating time restriction makes you healthier


According to measurements from the researchers, eating time restriction had no effect on sleep, but the subjects still felt better rested.


Eating time restriction makes you healthier


Eating time restriction makes you healthier


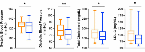
Eating time restriction lowered blood pressure by 5-7 points, and lowered LDL level.

The glucose level of the average participant did not improve due to the shrinking of the eating window, but in subjects with a full blown type-2 diabetes the insulin resistance improved and the glucose level dropped.

The figure below relates to the proverbial best responder in the study.


Eating time restriction makes you healthier


Conclusion
"The high level of adherence to time restricted eating in our study, no reported adverse effects, and low dropout rate suggest that a self-selected 10 h window for time restricted eating may be feasible for patients with metabolic syndrome to adhere to over a longer period of time", write the researchers.

"This study has demonstrated that a 10 hours time restricted eating intervention over 12 weeks, without an overt attempt to change physical activity or diet quality or quantity, can serve as a novel treatment for individuals with metabolic syndrome."

"Importantly, we observed significant decreases in systolic and diastolic blood pressure [...] [and] LDL-C [...]. These findings occurred without increased physical activity, and there was no significant correlation with changes in weight."

"Most participants were already taking stable doses of cardiovascular medications (79% and 63% of patients were taking a statin and anti-hypertensive therapy), suggesting that the observed benefits of time restricted eating were additive to the effects of these medications."

Source:
Cell Metab. 2019 Dec 2. pii: S1550-4131(19)30611-4. doi: 10.1016/j.cmet.2019.11.004. [Epub ahead of print].

More:
After twenty years of type-2 diabetes, patients no longer need insulin thanks to intermittent fasting 16.10.2018
Slimming without effort? Breakfast later, dine earlier 12.09.2018
Intermittent fasting may prevent diabetes type-2 24.05.2018

Archives:
Cardiovascular Health
Intermittent Fasting
Insulin & Glucose


Early evening meal protects against cancer Fasting activates stem cells to regenerate tissues Not eating a few hours before sleeping inhibits cancer cells

Early evening meal protects against cancer
The more time there is between the last meal you use during a day, and the moment you go to sleep, the smaller your chance of two of the most common forms of cancer.

Fasting activates stem cells to regenerate tissues
If during a period of fasting the body no longer uses glucose as fuel, and starts to use fatty acids instead, stem cells get an incentive to regenerate old and damaged tissues.

Not eating a few hours before sleeping inhibits cancer cells
A lifestyle that involves eating and snacking at all times of the day is not healthy. It boosts the synthesis of inflammatory factors which do 1001 things in your body that you don't want to happen.